0
Skip to Content
Welcome
Blogs
Contributors
Jamie-Lee Dwyer (FAer)
Karen Townsend (FAer)
Rebecca Walsh (FAer)
Terry O'Hanlon (FAer)
Friedreich Ataxia
FAN (Friedreich Ataxia Network)
FAN
Meeting minutes
Managing FA
Live your best life
FA Clinics - Brisbane & Melbourne
Nutrition
What your GP should know
Physiotherapy and exercise
Living with FA
Overview
Commonwealth government - NDIS
Other Commonwealth government support
QLD state government support
Non-government support
Useful links & information sources
What's new/interesting
Search for a cure
Contact
Open Menu
Close Menu
Welcome
Blogs
Contributors
Jamie-Lee Dwyer (FAer)
Karen Townsend (FAer)
Rebecca Walsh (FAer)
Terry O'Hanlon (FAer)
Friedreich Ataxia
FAN (Friedreich Ataxia Network)
FAN
Meeting minutes
Managing FA
Live your best life
FA Clinics - Brisbane & Melbourne
Nutrition
What your GP should know
Physiotherapy and exercise
Living with FA
Overview
Commonwealth government - NDIS
Other Commonwealth government support
QLD state government support
Non-government support
Useful links & information sources
What's new/interesting
Search for a cure
Contact
Open Menu
Close Menu
Welcome
Folder:
Blogs
Back
Contributors
Jamie-Lee Dwyer (FAer)
Karen Townsend (FAer)
Rebecca Walsh (FAer)
Terry O'Hanlon (FAer)
Friedreich Ataxia
Folder:
FAN (Friedreich Ataxia Network)
Back
FAN
Meeting minutes
Folder:
Managing FA
Back
Live your best life
FA Clinics - Brisbane & Melbourne
Nutrition
What your GP should know
Physiotherapy and exercise
Folder:
Living with FA
Back
Overview
Commonwealth government - NDIS
Other Commonwealth government support
QLD state government support
Non-government support
Useful links & information sources
What's new/interesting
Search for a cure
Contact
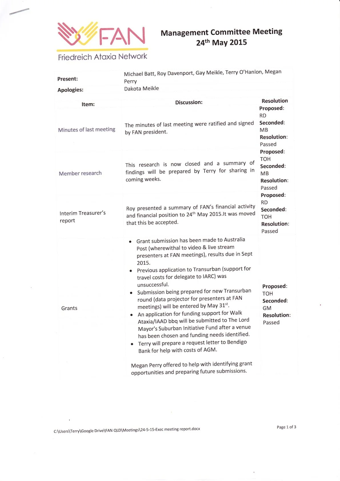
24-5-15 Exec meeting
9 Mar
Written By
Terence O'Hanlon
Terence O'Hanlon
https://www.fan.asn.au
Previous
Previous
13-12-15 AGM
Next
Next
9-8-15 Exec meeting